|
Промышленные осушители
HT
(Polar Bear)
Производительность:
523 л/сут - 1451 л/сут
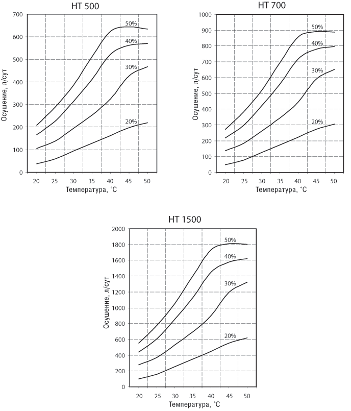
Технические характеристики | Графики | Чертеж, размеры
Промышленные осушители HT специально сконструированы для использования в помещениях с высокой температурой воздуха (от 15 до 60°С).
Все осушители заправлены хладагентом и проходят полную проверку работоспособности перед отгрузкой с завода.
Подробнее >>
Корпус
Осушители собраны на прочной раме из высококачественной оцинкованной стали. Быстросъемные сэндвич-панели закреплены на каркасе из алюминиевого профиля.
Холодильный контур
В холодильный контур входят компрессор, испаритель, конденсатор, фильтр-осушитель, ТРВ, датчики высокого и низкого давления.
Компрессор
В осушителях используется полугерметичный поршневой компрессор, на линиях всасывания и нагнетания смонтированы сервисные порты.
Испаритель и конденсатор
Испаритель и конденсатор представляют собой медно-алюминиевые теплообменники. Под испарителем расположен поддон из нержавеющей стали для сбора конденсата. Перед испарителем установлен воздушный фильтр.
Вентилятор
Осушитель снабжен центробежным вентилятором с ременным приводом.
Силовой электрический блок
Содержит выключатель, предохранители для компрессора, вентилятора и внешних цепей, реле компрессора и вентилятора, клеммы для подключения внешнего гигростата.
Микропроцессорный блок управления
Блок автоматически поддерживает требуемый уровень влажности по сигналам встроенного или выносного гигростата.
Блок управляет запуском и остановкой компрессора, циклами размораживания испарителя и выдает аварийные сигналы.
На панели светодиодных индикаторов отображаются наличие напряжения питания, режим осушения, режим размораживания или аварийные сигналы.
Опции
¤ Выносной гигростат.
¤ Высоконапорный вентилятор (600 Па).
|
Технические характеристики
| Модель |
|
HT 500 |
HT 700 |
HT
1500 |
Производительность
осушения при t=40°С
/ 40%RH |
л/сут |
523 |
717,8 |
1450,8 |
| Потребляемая
электрическая мощность (номинальная) |
кВт |
13,3 |
15,9 |
33,8 |
| Ток (максимальный) |
А |
25 |
29,9 |
71,2 |
| Производительность вентилятора |
м3/час |
6500 |
7100 |
12300 |
| Макс. внешнее статическое
давление |
Па |
200 |
200 |
200 |
| Хладагент |
|
R134a |
R134a |
R134a |
| Уровень звукового давления(1) |
дБ (А) |
74 |
75 |
78 |
| Рабочий диапазон температуры воздуха |
°C |
15÷60 |
15÷60 |
15÷60 |
| Рабочий диапазон относительной влажности |
% |
10÷99 |
10÷99 |
10÷99 |
| Размеры, ШхГхВ |
мм |
2300 x 1220 x 1405 |
2300 x 1220 x 1405 |
2600 x 1720 x 1507 |
| Вес |
кг |
498 |
550 |
815 |
| Напряжение электропитания |
В/ф |
400/3 |
400/3 |
400/3 |
|
| (1) На расстоянии 1 м. |
|

|