|
Осушители для низкой температуры воздуха
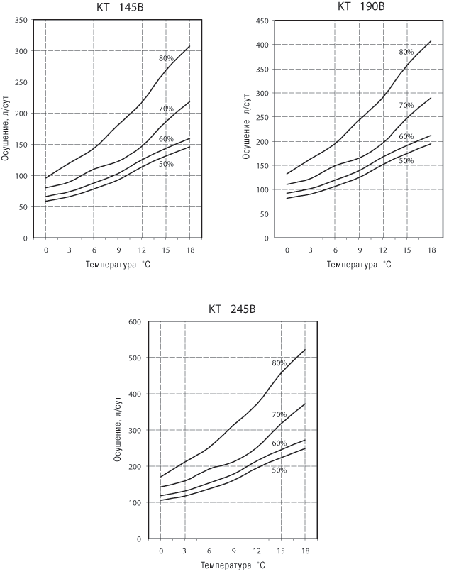
KT 145, KT 190, KT 245
(Polar Bear)
Производительность:
143 л/сут - 245 л/сут
Технические характеристики | Графики | Чертеж, размеры
Промышленные осушители KT специально сконструированы для использования в помещениях с низкой температурой воздуха (от 1 до 18°С).
Осушители снабжены системой оттайки горячим газом.
Осушители не требуют сложного монтажа и обслуживания, могут эксплуатироваться как с подключением к системе воздуховодов, так и без подключения.
Все осушители заправлены хладагентом и проходят полную проверку работоспособности перед отгрузкой с завода.
Корпус
Осушители собраны на прочной раме и снабжены быстросъемными панелями. Панели отштампованы из высококачественной оцинкованной стали, покрытой для повышения коррозионной стойкости порошковой краской.
Холодильный контур
В холодильный контур входят компрессор, испаритель, конденсатор, фильтр-осушитель, ТРВ, датчики высокого и низкого давления, отделитель жидкости на линии всасывания, соленоидный клапан системы оттайки горячим газом.
Компрессор
В осушителях используется герметичный поршневой компрессор, на линиях всасывания и нагнетания смонтированы сервисные порты.
Компрессор снабжен подогревателем картера, установлен на резиновых антивибрационных втулках.
Испаритель и конденсатор
Испаритель и конденсатор представляют собой медно-алюминиевые теплообменники. Под испарителем расположен подогреваемый поддон из нержавеющей стали для сбора конденсата.
Перед испарителем установлен воздушный фильтр.
Вентилятор
Центробежный вентилятор с непосредственным приводом снабжен трехскоростным электродвигателем с ручным переключением скоростей.
Силовой электрический блок
Содержит выключатель, предохранители для компрессора, вентилятора и внешних цепей, реле компрессора и вентилятора, клеммы для подключения внешнего гигростата.
Микропроцессорный блок управления
Блок автоматически поддерживает требуемый уровень влажности по сигналам встроенного или выносного гигростата.
Блок управляет запуском и остановкой компрессора, циклами размораживания испарителя и выдает аварийные сигналы.
На панели светодиодных индикаторов отображаются наличие напряжения питания, режим осушения, режим размораживания или аварийные сигналы.
Опции
¤ Встроенный механический гигростат.
¤ Выносной механический гигростат.
¤ Выносной электронный гигростат.
¤ Исполнение с напольными роликами.
¤ Дренажный насос.
|
Технические характеристики
| Модель |
|
KT
145B |
KT
190B |
KT
245B |
| Производительность осушения
при t=15°С/60%RH |
л/сут |
143,2 |
191 |
245,1 |
| Производительность осушения
при t=3°С/60%RH |
л/сут |
74,4 |
102,1 |
131,5 |
| Потребляемая электрическая
мощность (номинальная) |
кВт |
6,6 |
8,4 |
11,1 |
| Ток (максимальный) |
А |
19,9 |
21,9 |
26,9 |
| Производительность вентилятора |
м3/час |
5150 |
6850 |
8200 |
| Макс, внешнее статическое
давление |
Па |
50 |
50 |
50 |
| Хладагент |
Па |
R407C |
R407C |
R407C |
| Уровень звукового давления(1) |
дБ (А) |
72 |
73 |
74 |
| Рабочий диапазон температуры воздуха |
°C |
1÷18 |
1÷18 |
1÷18 |
| Рабочий диапазон относительной влажности |
% |
30÷99 |
30÷99 |
30÷99 |
| Вес |
кг |
398 |
424 |
451 |
| Напряжение электропитания |
В/ф |
400/3 |
400/3 |
400/3 |
|
| (1) На расстоянии 1 м. |
|

|