|
Промышленные осушители
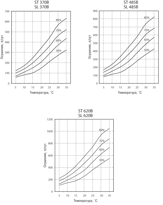
ST/SL 370В, ST/SL 485В, ST/SL 620В
(Polar Bear)
Производительность:
370 л/сут - 620 л/сут
Технические характеристики | Графики | Чертеж, размеры
Промышленные осушители ST и SL специально сконструированы для использования в помещениях, где необходимо точное поддержание заданного уровня влажности и предотвращение выпадения конденсата. Эти осушители подходят для использования в подвалах, на складах, в производственных помещениях.
Осушители ST снабжены системой оттайки горячим газом.
Осушители не требуют сложного монтажа и обслуживания, могут эксплуатироваться как с подключением к системе воздуховодов, так и без подключения.
Все осушители заправлены хладагентом и проходят полную проверку работоспособности перед отгрузкой с завода.
Подробнее >>
Корпус
Осушители собраны на прочной раме и снабжены быстросъемными панелями. Панели отштампованы из высококачественной оцинкованной стали, покрытой для повышения коррозионной стойкости порошковой краской.
Холодильный контур
В холодильный контур входят компрессор, испаритель, конденсатор, фильтр-осушитель, ТРВ, датчики высокого и низкого давления, соленоидные клапаны (для осушителей ST с системой оттайки горячим газом).
Компрессор
В осушителях используется герметичный поршневой компрессор, на линиях всасывания и нагнетания смонтированы сервисные порты.
Компрессор установлен на резиновых антивибрационных втулках.
Испаритель и конденсатор
Испаритель и конденсатор представляют собой медно-алюминиевые теплообменники. Под испарителем расположен поддон из нержавеющей стали для сбора конденсата. Перед испарителем установлен воздушный фильтр.
Вентилятор
В осушителе установлен центробежный вентилятор с ременным приводом.
Силовой электрический блок
Содержит выключатель, предохранители для компрессора, вентилятора и внешних цепей, реле компрессора и вентилятора, клеммы для подключения внешнего гигростата.
Микропроцессорный блок управления
Блок автоматически поддерживает требуемый уровень влажности по сигналам встроенного или выносного гигростата.
Блок управляет запуском и остановкой компрессора, циклами размораживания испарителя и выдает аварийные сигналы.
На панели светодиодных индикаторов отображаются наличие напряжения питания, режим осушения, режим размораживания или аварийные сигналы.
Опции
¤ Встроенный механический гигростат.
¤ Выносной механический гигростат.
¤ Выносной электронный гигростат.
¤ Высоконапорный вентилятор (200 Па).
¤ Дренажный насос.
¤ Патрубок с фильтром для подключения воздуховода на заборе воздуха.
|
Технические характеристики
| Модель |
ST
370B |
ST
485B |
ST
620B |
| SL
370B |
SL 485B |
SL 620B |
| Производительность осушения
при t=30°С/60%RH |
л/сут |
369,5 |
486,5 |
620,1 |
| Производительность осушения
при t=20°С/60%RH |
л/сут |
206,2 |
276,1 |
353,7 |
| Потребляемая электрическая
мощность (номинальная) |
кВт |
8,7 |
11,3 |
14,9 |
| Ток (максимальный) |
А |
17 |
20,5 |
27,4 |
| Производительность вентилятора |
м3/час |
5150 |
6850 |
8200 |
| Макс. внешнее статическое
давление |
Па |
50 |
50 |
50 |
| Хладагент |
Па |
R407C |
R407C |
R407C |
| Уровень звукового давления(1) |
дБ (А) |
72 |
73 |
74 |
| Рабочий диапазон температуры воздуха |
°C |
1÷35(2) |
1÷35(2) |
1÷35(2) |
| Рабочий диапазон относительной влажности |
% |
30÷99 |
30÷99 |
30÷99 |
| Вес |
кг |
390 |
412 |
439 |
| Напряжение электропитания |
В/ф |
400/3 |
400/3 |
400/3 |
| |
| (1) На расстоянии 1 м; |
| (2) Для моделей SL без системы
оттайки горячим газом рабочий диапазон 5-35 °С |
|

|