|
Промышленные осушители
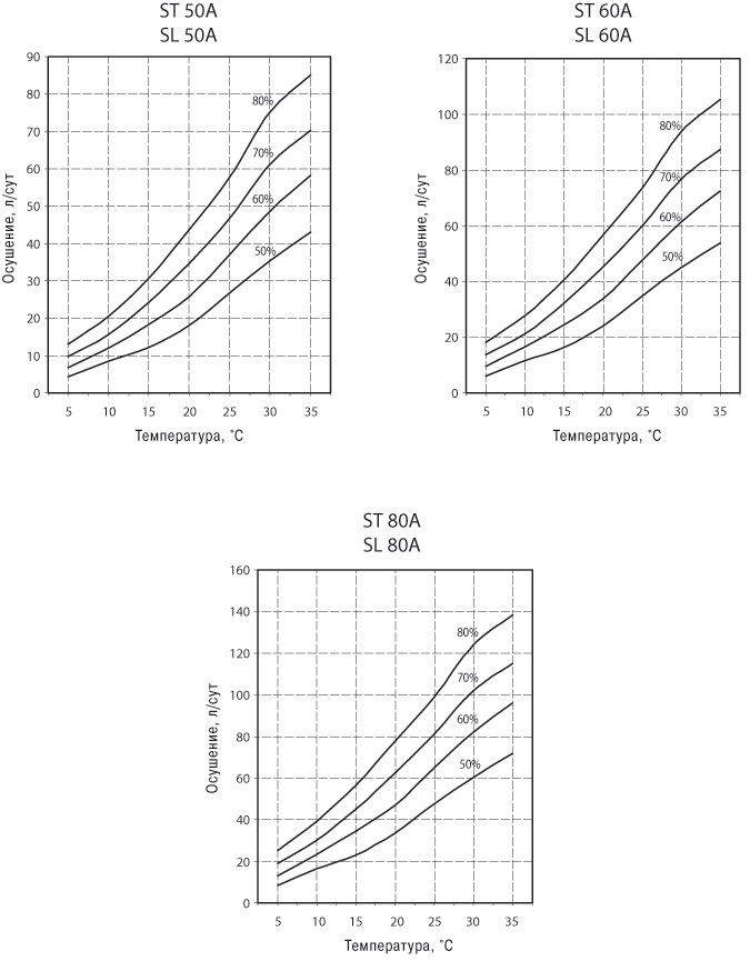
ST/SL 50А, ST/SL 60А, ST/SL 80А
(Polar Bear)
Производительность:
49 л/сут - 82 л/сут
Технические характеристики | Графики | Чертеж, размеры
Промышленные осушители ST и SL специально сконструированы для использования в помещениях, где необходимо точное поддержание заданного уровня влажности и предотвращение выпадения конденсата. Эти осушители подходят для использования в подвалах, на складах, в производственных помещениях.
Осушители ST дополнительно снабжены системой оттайки горячим газом.
Осушители не требуют сложного монтажа и обслуживания, могут эксплуатироваться как с подключением к системе воздуховодов, так и без подключения.
Все осушители заправлены хладагентом и проходят полную проверку работоспособности перед отгрузкой с завода.
Подробнее >>
Корпус
Осушители собраны на прочной раме и снабжены быстросъемными панелями. Панели отштампованы из высококачественной оцинкованной стали, покрытой для повышения коррозионной стойкости порошковой краской.
Холодильный контур
В холодильный контур входят компрессор, испаритель, конденсатор, фильтр-осушитель, капиллярные трубки, датчик высокого давления и соленоидные клапаны (для осушителей ST с системой оттайки горячим газом).
Компрессор
В осушителях используется герметичный поршневой компрессор, на линиях всасывания и нагнетания смонтированы сервисные порты.
Компрессор установлен на резиновых антивибрационных втулках.
Испаритель и конденсатор
Испаритель и конденсатор представляют собой медно-алюминиевые теплообменники. Под испарителем расположен поддон из нержавеющей стали для сбора конденсата. Перед испарителем установлен воздушный фильтр.
Вентилятор
Центробежный вентилятор с непосредственным приводом снабжен трехскоростным электродвигателем и ручным переключением скоростей.
Микропроцессорный блок управления
Блок автоматически поддерживает требуемый уровень влажности по сигналам встроенного или выносного гигростата.
Блок управляет запуском и остановкой компрессора, циклами размораживания испарителя и выдает аварийные сигналы.
На панели светодиодных индикаторов отображаются наличие напряжения питания, режим осушения, режим размораживания или аварийные сигналы.
Опции
¤ Встроенный механический гигростат.
¤ Выносной механический гигростат.
¤ Выносной электронный гигростат.
¤ Высоконапорный вентилятор.
¤ Корпус из нержавеющей стали.
¤ Комплект для настенного монтажа.
¤ Исполнение с напольными роликами.
¤ Дренажный насос.
|
Технические характеристики
| Модель |
ST 50A |
ST 60A |
ST 80A |
| SL 50A |
SL 60A |
SL 80A |
| Производительность
осушения при t=30°С/60%RH |
л/сут |
48,7 |
61,2 |
81,9 |
| Производительность
осушения при t=20°С/60%RH |
л/сут |
25,8 |
33,8 |
47 |
| Потребляемая
электрическая мощность (номинальная) |
кВт |
1,45 |
1,65 |
2,15 |
| Ток
(максимальный) |
А |
7,9 |
9,2 |
12,2 |
| Производительность
вентилятора |
м3/час |
1000 |
1000 |
1200 |
| Макс.
внешнее статическое давление |
Па |
50 |
50 |
50 |
| Хладагент |
|
R407C |
R407C |
R407C |
| Уровень
звукового давления (1) |
дБ (А) |
56 |
58 |
59 |
| Рабочий диапазон температуры
воздуха |
°C |
1÷35(2) |
1÷35(2) |
1÷35(2) |
| Рабочий диапазон
относительной влажности |
% |
30÷99 |
30÷99 |
30÷99 |
| Вес |
кг |
68 |
75 |
79 |
| Напряжение
электропитания |
В/ф |
230/1 |
230/1 |
230/1 |
| |
| (1) На
расстоянии 1 м; |
| (2) Для моделей
SL без системы оттайки горячим газом рабочий диапазон 5-35 °С. |
|

|